首页
概况
学院简介
现任领导
爱尔兰介绍
香农理工大学介绍
专业
师资
本校教师
外籍教师
招生
招生工作
升学情况
教学
机电一体化技术
应用电子技术
模具设计与制造
广告设计与制作
大数据与财务管理
雅思教学
学生
学生活动
团学组织
党建
党建组织
党员学习
党建动态
您当前所在的位置:
首页
教学
雅思教学
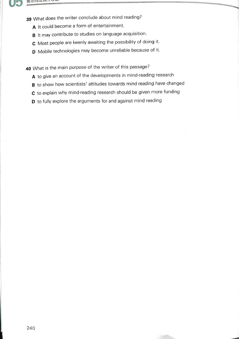
1月5日材料
发布时间:
2024-01-13
阅读次数:
151
ans.png
各院系链接
AIT专业链接
联系我们
无锡职院官网
国际学院网站
机械技术学院
物联网技术学院
机电一体化技术
应用电子技术
模具设计与制造
广告设计与制作
地址:江苏省无锡市高浪西路1600号
邮编:214121
电话:0510-81838822、85916000
招生咨询:0510-85916111、81838877、
81838878、81838888
Copyright 2018 WXIT,All Rights Reserved 苏IPC备案号:09025827